docs: 更改第七章标题

This commit is contained in:
camera-2018
2023-07-14 17:33:09 +08:00
parent c9325fb520
commit cb9764ae3d
43 changed files with 39 additions and 140 deletions

View File

@@ -98,7 +98,7 @@ export default defineConfig({
title: "HDU-CS-WIKI",
description: "HDU计算机科学讲义",
lastUpdated: true,
head: [['script', { async: "async", src: 'https://umami.hdu-cs.wiki/script.js', "data-website-id": "3f11687a-faae-463a-b863-6127a8c28301", "data-domains":"wiki.xyxsw.site,hdu-cs.wiki" }]],
head: [['script', { async: "async", src: 'https://umami.hdu-cs.wiki/script.js', "data-website-id": "3f11687a-faae-463a-b863-6127a8c28301", "data-domains": "wiki.xyxsw.site,hdu-cs.wiki" }]],
themeConfig: {
// https://vitepress.dev/reference/default-theme-config
nav: [
@@ -601,31 +601,38 @@ export default defineConfig({
]
},
{
text: '7.Web开发入门',
text: '7.网络应用开发',
collapsed: true,
items: [
{ text: '7.Web开发入门', link: '/7.Web开发入门/7.Web开发入门' },
{ text: '7.网络应用开发入门', link: '/7.网络应用开发/7.网络应用开发入门' },
{
text: '7.1前端部分',
text: '7.1WEB开发入门',
collapsed: true,
items: [
{ text: '7.1前端部分', link: '/7.Web开发入门/7.1前端部分' },
{ text: '7.1.1基础部分', link: '/7.Web开发入门/7.1.1基础部分' },
{ text: '7.1.2进阶部分', link: '/7.Web开发入门/7.1.2进阶部分' },
{ text: '7.1.3附录1前端介绍详细版', link: '/7.Web开发入门/7.1.3附录1前端介绍详细版' },
{ text: '7.1.4附录2大前端开发', link: '/7.Web开发入门/7.1.4附录2大前端开发' },
{ text: '7.1.5附录3跨端开发', link: '/7.Web开发入门/7.1.5附录3跨端开发' },
{ text: '7.1WEB开发入门', link: '/7.网络应用开发/7.1WEB开发入门' },
{
text: '7.1.1前端部分',
collapsed: true,
items: [
{ text: '7.1.1前端部分', link: '/7.网络应用开发/7.1.1前端部分' },
{ text: '7.1.1.1基础部分', link: '/7.网络应用开发/7.1.1.1基础部分' },
{ text: '7.1.1.2进阶部分', link: '/7.网络应用开发/7.1.1.2进阶部分' },
{ text: '7.1.1.3附录1前端介绍详细版', link: '/7.网络应用开发/7.1.1.3附录1前端介绍详细版' },
{ text: '7.1.1.4附录2大前端开发', link: '/7.网络应用开发/7.1.1.4附录2大前端开发' },
{ text: '7.1.1.5附录3跨端开发', link: '/7.网络应用开发/7.1.1.5附录3跨端开发' },
]
},
{
text: '7.1.2后端部分',
collapsed: true,
items: [
{ text: '7.1.2后端部分', link: '/7.网络应用开发/7.1.2后端部分' },
{ text: '7.1.2.1基础部分', link: '/7.网络应用开发/7.1.2.1基础部分' },
{ text: '7.1.2.2进阶部分', link: '/7.网络应用开发/7.1.2.2进阶部分' },
]
},
]
},
{
text: '7.2后端部分',
collapsed: true,
items: [
{ text: '7.2后端部分', link: '/7.Web开发入门/7.2后端部分' },
{ text: '7.2.1基础部分', link: '/7.Web开发入门/7.2.1基础部分' },
{ text: '7.2.2进阶部分', link: '/7.Web开发入门/7.2.2进阶部分' },
]
}
]
},
{
@@ -634,7 +641,6 @@ export default defineConfig({
items: [
{ text: '8.基础学科', link: '/8.基础学科/8.基础学科' },
{ text: '8.1经济学科普Part1', link: '/8.基础学科/8.1经济学科普Part1' },
{ text: '8.2定积分', link: '/8.基础学科/8.2定积分' },
]
},
{

View File

@@ -179,4 +179,10 @@ mjx-container {
.jp-RenderedHTMLCommon :not(pre) > code {
background-color: var(--vp-c-mute) !important;
}
.VPImage {
user-drag: none !important;
-webkit-user-drag: none !important;
-moz-user-drag: none !important;
}

View File

@@ -1,4 +1,4 @@
# 7.Web 开发入门
# 7.网络应用开发入门
> 作者aFlyBird0
@@ -70,7 +70,7 @@
我们这里就来个极简版吧:
1. 最终形态是网站(用户访问 [http://message.srt.com](http://message.srt.com) 就能参与留言)。
1. 最终形态是网站(用户访问 [https://message.hdu-cs.wiki](https://message.hdu-cs.wiki) 就能参与留言,这个网站是虚构的 不存在哦~)。
2. 留言的时候需要填写昵称(不需要注册)、留言内容(只支持纯文字)。
#### 2.3.2 前端
@@ -136,7 +136,7 @@ A理论上可以。但一般不会这么做除了一些实时的网络聊
1. 测试
2. 如果程序出现了 bug调试程序
3. 没问题之后需要把写好的后端部署到服务器上。即放到一个互联网公网能访问的地方,给出前端地址(也就是 [http://message.srt.com](http://message.srt.com))同时后端也要运行起来,处理后台逻辑。
3. 没问题之后需要把写好的后端部署到服务器上。即放到一个互联网公网能访问的地方,给出前端地址(也就是 [https://message.hdu-cs.wiki](https://message.hdu-cs.wiki))同时后端也要运行起来,处理后台逻辑。
4. 写项目文档,防止后面接手的人看不懂你写的项目(甚至不写文档可能过几天你自己都看不懂了)
5. 持续维护项目(修复 bug开发新功能

View File

@@ -0,0 +1,3 @@
# 7.网络应用开发入门
本章节原本的名字是「WEB开发入门」后来发现这个标题涵盖的范围还是小了点。因为网络应用开发不仅仅涉及到前端的网页设计和开发、后端数据库操作等方面还包括云原生的应用部署和管理等等一系列相关知识。因此我们拓展了这一章节的内容以便读者可以全面了解网络应用开发的各个方面。

View File

Before

Width:  |  Height:  |  Size: 46 KiB

After

Width:  |  Height:  |  Size: 46 KiB

View File

Before

Width:  |  Height:  |  Size: 40 KiB

After

Width:  |  Height:  |  Size: 40 KiB

View File

Before

Width:  |  Height:  |  Size: 58 KiB

After

Width:  |  Height:  |  Size: 58 KiB

View File

Before

Width:  |  Height:  |  Size: 107 KiB

After

Width:  |  Height:  |  Size: 107 KiB

View File

Before

Width:  |  Height:  |  Size: 311 KiB

After

Width:  |  Height:  |  Size: 311 KiB

View File

Before

Width:  |  Height:  |  Size: 1.6 MiB

After

Width:  |  Height:  |  Size: 1.6 MiB

View File

Before

Width:  |  Height:  |  Size: 16 KiB

After

Width:  |  Height:  |  Size: 16 KiB

View File

Before

Width:  |  Height:  |  Size: 482 KiB

After

Width:  |  Height:  |  Size: 482 KiB

View File

Before

Width:  |  Height:  |  Size: 57 KiB

After

Width:  |  Height:  |  Size: 57 KiB

View File

Before

Width:  |  Height:  |  Size: 18 KiB

After

Width:  |  Height:  |  Size: 18 KiB

View File

Before

Width:  |  Height:  |  Size: 52 KiB

After

Width:  |  Height:  |  Size: 52 KiB

View File

Before

Width:  |  Height:  |  Size: 103 KiB

After

Width:  |  Height:  |  Size: 103 KiB

View File

Before

Width:  |  Height:  |  Size: 3.2 KiB

After

Width:  |  Height:  |  Size: 3.2 KiB

View File

Before

Width:  |  Height:  |  Size: 24 KiB

After

Width:  |  Height:  |  Size: 24 KiB

View File

Before

Width:  |  Height:  |  Size: 20 KiB

After

Width:  |  Height:  |  Size: 20 KiB

View File

Before

Width:  |  Height:  |  Size: 159 KiB

After

Width:  |  Height:  |  Size: 159 KiB

View File

Before

Width:  |  Height:  |  Size: 4.0 KiB

After

Width:  |  Height:  |  Size: 4.0 KiB

View File

Before

Width:  |  Height:  |  Size: 140 KiB

After

Width:  |  Height:  |  Size: 140 KiB

View File

Before

Width:  |  Height:  |  Size: 301 KiB

After

Width:  |  Height:  |  Size: 301 KiB

View File

Before

Width:  |  Height:  |  Size: 102 KiB

After

Width:  |  Height:  |  Size: 102 KiB

View File

Before

Width:  |  Height:  |  Size: 42 KiB

After

Width:  |  Height:  |  Size: 42 KiB

View File

Before

Width:  |  Height:  |  Size: 172 KiB

After

Width:  |  Height:  |  Size: 172 KiB

View File

Before

Width:  |  Height:  |  Size: 57 KiB

After

Width:  |  Height:  |  Size: 57 KiB

View File

Before

Width:  |  Height:  |  Size: 166 KiB

After

Width:  |  Height:  |  Size: 166 KiB

View File

Before

Width:  |  Height:  |  Size: 177 KiB

After

Width:  |  Height:  |  Size: 177 KiB

View File

Before

Width:  |  Height:  |  Size: 139 KiB

After

Width:  |  Height:  |  Size: 139 KiB

View File

Before

Width:  |  Height:  |  Size: 305 KiB

After

Width:  |  Height:  |  Size: 305 KiB

View File

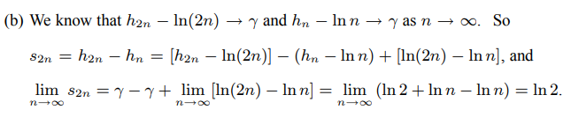
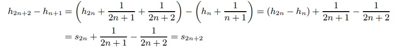
@@ -1,116 +0,0 @@
本文主要讲解定积分在计算时运用的各种化简技巧。
![](https://pic-hdu-cs-wiki-1307923872.cos.ap-shanghai.myqcloud.com/lake_card_mindmap.png)
# 一:由不定积分计算定积分
## 1.1原函数成立区间的问题
注意:由不定积分推导出的原函数在定积分的区间不一定成立!!!<br />对于大多数定积分题目,可直接由代入不定积分的结论。
# 二:利用对称性化简定积分
## 2.1奇偶对称和周期性
![](https://pic-hdu-cs-wiki-1307923872.cos.ap-shanghai.myqcloud.com/picture1.png)
<br />
命题1设函数f在区间$[0,a]$可积,且关于区间中点$\frac{a}{2}$为奇函数,即对于$x\in[0,a]$,有$f(x)=-f(a-x)$,则成立<br />$\int_0^af(x)dx=0$。<br />命题2设函数f在区间$[0,a]$可积,且关于区间中点$\frac{a}{2}$为偶函数,即对于$x\in[0,a]$,有$f(x)=f(a-x)$, 则成立<br />$\int_0^af(x)dx=2\int_0^{\frac{a}{2}}f(x)dx$。<br />命题3若函数f为定义在$-\infty<x<+\infty$上的周期为T的连续周期函数即$f(x)$满足:$f(x)=f(x+T)$,则成立<br />$\int_a^{a+T}f(x)dx=\int_0^Tf(x)dx$<br />**_Proof_**<br />将积分区间拆成多段,带入上文对称公式,之后换元即可,证明的本质是统一了积分区间。<br />_**Example**<br />$\int_0^{2\pi}\frac{dx}{sin^4x+cos^4x}$
利用:$sin^4x+cos^4x=(sin^2x+cos^2x)^2-2sin^2xcos^2x=1-\frac{1}{2}sin^2(2x)=\frac{1}{2}(1+cos^2(2x))$,周期为$\pi/2$<br />两次利用命题3将积分区间化简为$[0,\frac{\pi}{2}]$。由于被积函数关于$\pi/4$偶对称利用命题2可将积分区间化简为$[0,\frac{\pi}{4}]$,故原式等于:<br />$4\int_0^{\frac{\pi}{2}}\frac{dx}{sin^4x+cos^4x}=8\int_0^{\frac{\pi}{4}}\frac{dx}{sin^4x+cos^4x}=16\int_0^{\frac{\pi}{4}}\frac{dx}{1+cos^2(2x)}=8\int_0^{\frac{\pi}{2}}\frac{dt}{1+cos^2(t)}=8\int_0^{\frac{\pi}{2}}\frac{d(tant)}{2+tan^2t}$<br />$=8\int_{0}^{+\infty}\frac{du}{u^2+2}=4\sqrt{2}arctan(\frac{u}{\sqrt{2}})|_0^{+\infty}=2\sqrt{2}\pi$_
## 2.2积分区间的缩小
命题4设f在$[0,a]$上可积,则成立$\int_0^af(x)dx=\int_0^{\frac{a}{2}}[f(x)+f(a-x)]dx$此为命题1,2的推广形式。<br />可推广为:$\int_a^bf(x)dx=\int_a^{\frac{a+b}{2}}[f(x)+f(a+b-x)]dx$,该命题在$f(x)+f(a+b-x)$更好积分时使用。<br />**_Proof_<br />反向利用命题2$\int_0^af(x)dx=\frac{1}{2}(\int_0^af(x)dx+\int_0^af(a-x)dx)=\int_0^{\frac{a}{2}}[f(x)+f(a-x)]dx$<br />命题5若f(x)在闭区间$[0,1]$上连续,则<br />a$\int_0^{\frac{\pi}{2}}f(sinx)dx=\int_0^{\frac{\pi}{2}}f(cosx)dx$<br />b$\int_0^{\pi}xf(sinx)dx=\frac{\pi}{2}\int_0^{\pi}f(sinx)dx$<br />c$\int_0^{\pi}f(sinx)dx=2\int_0^{\frac{\pi}{2}}f(sinx)dx$<br />**_Proof_**<br />a$x=\pi/2-t$b$x=\pi-t$c$t=x-\pi/2$<br />也可由命题4直接推出如对于b<br />$\int_0^{\pi}(x-\pi/2)f(sinx)dx=\int_0^{\frac{\pi}{2}}(x-\pi/2+\pi-x-\pi/2)f(sinx)dx=0$<br />_**Example1**_<br />a$\int_0^{\pi/2}\frac{sinx}{sinx+cosx}dx$    b$\int_0^{\pi/2}ln(sinx)dx$    c$\int_0^{\pi/2}ln(tanx)dx$<br />d$\int_0^{\pi/2}\frac{1}{1+tan^ax}dx$       e$\int_0^{\pi}\frac{xsinx}{1+cos^2x}dx$    f$\int_0^1\frac{lnx}{\sqrt{1-x^2}}dx$<br />例如对于b利用命题4$\int_0^{\frac{\pi}{4}}[ln(sin(x))+ln(cos(x))]dx=\int_0^{\frac{\pi}{4}}[ln(sin(2x)/2]dx$<br />$=\int_0^{\frac{\pi}{4}}[ln(sin(2x))-ln(2)]dx=\frac{1}{2}\int_0^{\frac{\pi}{2}}ln(sin(x))dx-\frac{\pi}{4}ln2=-\frac{\pi}{2}ln2$<br />_**Example2**_<br />设$f(x)$在$[a,b]$上连续且单调增加,证明:$\int_a^bxf(x)dx\geq\frac{a+b}{2}\int_a^bf(x)dx$<br />$\int_a^b(x-\frac{a+b}{2})f(x)dx=\int_a^{\frac{a+b}{2}}[(x-\frac{a+b}{2})f(x)+(a+b-x-\frac{a+b}{2})f(a+b-x)]dx$<br />$=\int_a^{\frac{a+b}{2}}(x-\frac{a+b}{2})[f(x)-f(a+b-x)]dx$<br />因为$f(x)$单增,所以$f(x)-f(a+b-x)\leq0$原式大于等于0证毕。
# 三:利用递归表达式化简定积分
注意全部利用分部积分构造递推表达式使得分部积分脱出积分号的项为0对积分内指数进行降阶即可。
## 3.1高阶三角函数
$I_0=\int_0^{\pi/2}dx=\pi/2$$I_1=\int_0^{\pi/2}sinxdx=1$$I_2=\int_0^{\pi/2}sin^2xdx=\pi/4$<br />思考:如果$I_n$为一数列$I_n=\int_0^{\pi/2}sin^nxdx$,请问<br />1$I_n$的递推表达式为?<br />2$I_n$的通项表达式为?<br />3$I_n(n\to\infty)$的极限为?<br />4求$\lim_{k\to\infty}\frac{I_{2k+1}}{I_{2k}}$<br />答案:<br />12<br />
![](https://pic-hdu-cs-wiki-1307923872.cos.ap-shanghai.myqcloud.com/picture2.png)
推论由命题4得对cosx做上述操作得到结果相同。<br />3$I_n(n\to\infty)$的极限为0如图为$sin^n(x)在[0,1]$的函数图像,因为$sin^n(x)<x^n<1$,所以函数在[0,1]为0在x=1处为1为非一致收敛的情况。因此分成两段进行证明。<br />![save.png](https://cdn.nlark.com/yuque/0/2019/png/422826/1564801370246-b0067524-94bb-4de3-9d1d-fde22a35d9bf.png#align=left&display=inline&height=158&name=save.png&originHeight=400&originWidth=650&size=32867&status=done&style=none&width=256)<br />证明:<br />法一:积分的有界性<br />![image.png](https://cdn.nlark.com/yuque/0/2019/png/422826/1564497996832-07ba349b-e630-4e23-a0ae-781051191e00.png#align=left&display=inline&height=165&name=image.png&originHeight=295&originWidth=596&size=39253&status=done&style=none&width=333)<br />这里第二项趋于0是因为$sin^n(x)\to0$,从图中也可以观察出来。<br />法二:<br />$if\ n=2k$<br />$I_{2k}=\frac{(2k-1)!!}{(2k)!!}=\frac{(2k-1)\cdot(2k-3)\cdot\cdot\cdot5\cdot3\cdot1}{(2k)(2k-2)\cdot\cdot\cdot6\cdot4\cdot2}\cdot\frac{\pi}{2}$<br />$0<I_{2k}^2=\frac{1\cdot 3}{2^2}\cdot\frac{3\cdot 5}{4^2}\cdot\cdot\frac{(2k-3)(2k-1)}{(2k-2)^2}\cdot \frac{2k-1}{(2k)^2}\cdot\frac{\pi^2}{4}<\frac{2k-1}{(2k)^2}\cdot\frac{\pi^2}{4}\to0$<br />$\therefore I_{2k}\to0$<br />$\therefore I_{2k+1}=\int_0^{\pi/2}sinx\cdot sin^{2k}xdx=sinx_0\cdot\int_0^{\pi/2}sin^{2k}xdx\to0$<br />$\therefore I_{n}\to0$<br />4<br />![image.png](https://cdn.nlark.com/yuque/0/2019/png/422826/1564147108664-81bb7241-200a-4d44-bc2c-d054f460cf32.png#align=left&display=inline&height=87&name=image.png&originHeight=202&originWidth=1071&size=42020&status=done&style=none&width=462)<br />维基百科:[沃利斯乘积](https://zh.wikipedia.org/wiki/%E6%B2%83%E5%88%A9%E6%96%AF%E4%B9%98%E7%A7%AF)<br />3B1B[沃利斯乘积的几何解释](https://www.bilibili.com/video/av22808876/)
## 3.2组合三角函数
注意:此类题一律用分部积分画出和原被积函数相关的表达式,但不一定是相等,以实现得到递推关系降阶的目的。<br />_**Example**_<br />求 $L_n=\int_0^{\pi/2}cos^n(x)cos(nx)dx$ 的递归表达式和通项<br />$=\frac{1}{n}\int_0^{\pi/2}cos^n(x)dsin(nx)=\frac{1}{n}(cos^n(x)sin(nx)|_0^{\pi/2}-\frac{1}{n}\int_0^{\pi/2}nsin(nx)cos^{n-1}(x)(-sin(x))dx$<br />$=\int_0^{\pi/2}cos^{n-1}(x)sin(nx)sin(x)dx$<br />$2L_n=\int_0^{\pi/2}[cos^{n-1}(x)sin(nx)sin(x)+cos^n(x)cos(nx)]dx=\int_0^{\pi/2}cos^{n-1}(x)(cos(nx)cos(x)+sin(nx)sin(x))dx$$=\int_0^{\pi/2}cos^{n-1}(x)cos((n-1)x)dx=L_{n-1}$<br />所以   $L_n=\frac{1}{2}L_{n-1}$   而$L_1=\int_0^{\pi/2}cos(x)cos(x)dx=\pi/4$<br />所以数列的通项表达式为:$L_n=\frac{\pi}{2^{n+1}}$
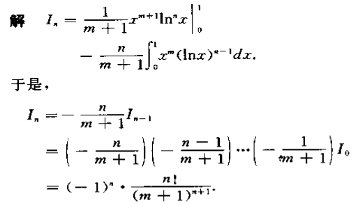
## 3.3其他函数
_**Example**_<br />求 $I_n=\int_0^1x^m(ln(x))^ndx$ 的递推表达式和通项。
![image.png](https://cdn.nlark.com/yuque/0/2019/png/422826/1564241319233-796ecfee-2ddd-4667-80f4-b73cd125e934.png#align=left&display=inline&height=169&name=image.png&originHeight=295&originWidth=513&size=22668&status=done&style=none&width=294)<br />_**Exercise:**_<br />_**![image.png](https://cdn.nlark.com/yuque/0/2019/png/422826/1564241435483-8be6a610-4c85-4cf1-9462-2098bcfa62f3.png#align=left&display=inline&height=130&name=image.png&originHeight=228&originWidth=807&size=41698&status=done&style=none&width=461.14285714285717)**3求$a_n$的极限<br />![image.png](https://cdn.nlark.com/yuque/0/2019/png/422826/1564744389393-b8440935-0e4b-4929-9051-0fdd2f777195.png#align=left&display=inline&height=202&name=image.png&originHeight=404&originWidth=715&size=151214&status=done&style=none&width=357.5)<br />![image.png](https://cdn.nlark.com/yuque/0/2019/png/422826/1564744402464-00a0d4fb-b389-4698-8ff3-10d3636ec0d9.png#align=left&display=inline&height=85&name=image.png&originHeight=169&originWidth=761&size=67350&status=done&style=none&width=380.5)<br />![image.png](https://cdn.nlark.com/yuque/0/2019/png/422826/1564744431484-9a434d95-daa6-41ae-a1e1-d0e6195c320f.png#align=left&display=inline&height=183&name=image.png&originHeight=366&originWidth=771&size=159135&status=done&style=none&width=385.5)<br />3结果为0证法和高阶三角函数一样。
# 四:利用级数对定积分进行估值
## 4.1常用的几种级数
基本的思路是:把函数做泰勒展开,交换积分和求和符号,对每一项幂函数进行积分,最后合并即可。<br />下面给出三个重要常数:
a$\sum_{n=1}^{\infty}\frac{1}{n^2}=\frac{\pi^2}{6}$    b$\sum_{n=1}^{\infty}\frac{(-1)^{n-1}}{n}=ln2$   c$\sum_{n=1}^{\infty}\frac{(-1)^{n-1}}{(2m-1)^2}\approx0.92$
此类级数可由初等函数泰勒展开后将x=1或x=-1代入得到。
这里给出简单的证明:<br />a$\sum_{n=1}^{\infty}\frac{1}{n^2}=\frac{\pi^2}{6}$<br />![image.png](https://cdn.nlark.com/yuque/0/2019/png/422826/1564242905610-5bf4dd0a-0a52-4b38-8e7d-485eed0eb53d.png#align=left&display=inline&height=647&name=image.png&originHeight=1132&originWidth=1839&size=226683&status=done&style=none&width=1050.857142857143)<br />b$\sum_{n=1}^{\infty}\frac{(-1)^{n-1}}{n}=ln2$ <br />![image.png](https://cdn.nlark.com/yuque/0/2019/png/422826/1564243200904-46e01aa2-ff5f-4e91-96c6-24ffac42527b.png#align=left&display=inline&height=120&name=image.png&originHeight=254&originWidth=712&size=47782&status=done&style=none&width=337)![image.png](https://cdn.nlark.com/yuque/0/2019/png/422826/1564243217478-d04ddecb-e9a1-4b7d-965a-e574fc3ac5d6.png#align=left&display=inline&height=155&name=image.png&originHeight=387&originWidth=658&size=51785&status=done&style=none&width=264)
![image.png](https://cdn.nlark.com/yuque/0/2019/png/422826/1564243252320-7f8fe6d6-ee10-491f-903c-e88ec528e339.png#align=left&display=inline&height=58&name=image.png&originHeight=101&originWidth=821&size=16857&status=done&style=none&width=469.14285714285717)<br />![image.png](https://cdn.nlark.com/yuque/0/2019/png/422826/1564243274256-af7edc4a-1c6b-4dbe-ac11-9d21eeec71df.png#align=left&display=inline&height=76&name=image.png&originHeight=133&originWidth=645&size=27056&status=done&style=none&width=368.57142857142856) <br />c$\sum_{n=1}^{\infty}\frac{(-1)^{n-1}}{(2m-1)^2}\approx0.92$<br />$\int_0^1\frac{arctan(x)}{x}dx=\int_0^1\frac{1}{x}\sum_{n=0}^{\infty}(-1)^n\frac{1}{2n+1}x^{2n+1}dx=\int_0^1\sum_{n=0}^{\infty}(-1)^n\frac{1}{2n+1}x^{2n}dx=\sum_{n=0}^{\infty}(-1)^n\frac{1}{2n+1}\int_0^1x^{2n}dx$$\sum_{n=0}^{\infty}(-1)^n\frac{1}{(2n+1)^2}x^{2n+1}|_0^1=\sum_{n=0}^{\infty}(-1)^n\frac{1}{(2n+1)^2}=G\approx0.92$ (这可以利用计算机对此积分估值得到)
在计算积分时,通常通过上述思路把积分化为上述重要常数,进而直接得出结果。
## 4.2将定积分转换为级数
_**Example1重要常数a**_<br />$\int_0^1ln(x)ln(1-x)dx$<br />答案:<br />[视频链接](https://www.youtube.com/watch?v=q9jbmEGClSk&list=PLj7p5OoL6vGzJxJU1seMmj-5CBNhMYStQ&index=8)<br />_**Example2重要常数c**_<br />a $\int_0^{\pi/4}ln(tan(x))dx$       b  $\int_0^{\pi/4}ln(cot(x))dx$<br />对于a令$t=tan(x)$ ,换元后可得:<br />$\int_0^1ln(t)d arctan(t)=[ln(t)arctan(t)]|_0^1-\int_0^1arctant\frac{dt}{t}=-\int_0^1arctant\frac{dt}{t}=-G\approx-0.92$
# 五:特殊积分
## 5.1伽马函数
![image.png](https://cdn.nlark.com/yuque/0/2019/png/422826/1564245497241-6c16b905-d759-4bd8-af5d-db0cabfc0046.png#align=left&display=inline&height=190&name=image.png&originHeight=333&originWidth=1344&size=87735&status=done&style=none&width=768)<br />维基百科点击下方链接:<br />[WIKI百科](https://zh.wikipedia.org/wiki/%CE%93%E5%87%BD%E6%95%B0)<br />下面为详细的视频教程<br />1定义伽马函数<br />[视频链接](https://www.youtube.com/watch?v=L4Trz6pFut4&t=21s)<br />2$(\frac{1}{2})!$<br />[视频链接](https://www.youtube.com/watch?v=dBmApl6gkII&t=5s)<br />3$(-1)!$<br />[视频链接](https://www.youtube.com/watch?v=MfP2FQPBdHI&t=294s)<br />4$n!!$<br />[视频链接](https://www.youtube.com/watch?v=imcooZyo4vE)
## 5.2分段函数积分
此类题目的关键是原函数的连续性要求,通过待定系数求解,具体见不定积分中的[特殊积分部分](https://www.yuque.com/uhhida/tcgb6r/dg7du1)。
## 5.3变限积分
形如$I(x)=\int_a^xf(t)dt$ 的积分叫做变限积分,他的本质是一个自变量在积分限的函数。<br />变限积分的求导法则尤其重要。此类题目需要扎实的数学分析思想,极其易错,具体内容见[积分证明框架](https://www.yuque.com/uhhida/tcgb6r/pcc7t2)。
## 5.4反常积分
具体内容见[积分证明框架](https://www.yuque.com/uhhida/tcgb6r/pcc7t2)
# 六:定积分的应用
![image.png](https://cdn.nlark.com/yuque/0/2019/png/422826/1564724099303-6e2cfef5-7f4f-46e6-9a00-3632de75a170.png#align=left&display=inline&height=40&name=image.png&originHeight=80&originWidth=420&size=14148&status=done&style=none&width=210)<br />![image.png](https://cdn.nlark.com/yuque/0/2019/png/422826/1564724119486-04a2024a-c37c-4301-864a-3d9c834a9a9e.png#align=left&display=inline&height=183&name=image.png&originHeight=482&originWidth=1078&size=80537&status=done&style=none&width=410)<br />我们可以看到定积分的本质就是微元法取极限,所以一些几何和物理问题都可以用微元法的思想解决。<br />_**Example1**_<br />已知一段半圆弧电荷密度为+1计算圆心处的电场强度。<br />![fullsizerender.jpg](https://cdn.nlark.com/yuque/0/2019/jpeg/422826/1564726073432-5b1cdc3e-832e-4bba-a49d-9393ac0851d9.jpeg#align=left&display=inline&height=188&name=fullsizerender.jpg&originHeight=661&originWidth=668&size=149950&status=done&style=none&width=190)<br />注意,这类题目直接用几何解法更快,由库仑定律得,两段对称的微弧对圆心的电场作用为:<br />$\Delta E=2\Delta E'cos\theta=\frac{2k\Delta lcos\theta}{R^2}=\frac{2k\Delta r}{R^2}$<br />$\Delta r$代表上图小三角形垂直部分,$\sum \Delta r=R$ ,所以:<br />$E=\sum\Delta E=\frac{2k}{R^2}\sum\Delta r=\frac{2k}{R}$<br />_**Example2**_<br />我们可以利用微元法找到极坐标的面积公式<br />![image.png](https://cdn.nlark.com/yuque/0/2019/png/422826/1564728031738-6389fbcd-0f0d-4d82-b000-d792baa913a4.png#align=left&display=inline&height=492&name=image.png&originHeight=984&originWidth=1287&size=352109&status=done&style=none&width=643.5)<br />![image.png](https://cdn.nlark.com/yuque/0/2019/png/422826/1564728172614-53554ec7-2afc-4641-80f7-dfb743a52cbf.png#align=left&display=inline&height=168&name=image.png&originHeight=335&originWidth=1248&size=112129&status=done&style=none&width=624)
## 6.1几何问题
#### 6.1.1向量簇
请下载:[New horizons in geometry(几何新视野).pdf](https://www.yuque.com/attachments/yuque/0/2019/pdf/422826/1564708063142-a6a603c9-ef19-42c5-bbac-3a746583ac46.pdf?_lake_card=%7B%22uid%22%3A%22rc-upload-1564707962520-4%22%2C%22src%22%3A%22https%3A%2F%2Fwww.yuque.com%2Fattachments%2Fyuque%2F0%2F2019%2Fpdf%2F422826%2F1564708063142-a6a603c9-ef19-42c5-bbac-3a746583ac46.pdf%22%2C%22name%22%3A%22New%20horizons%20in%20geometry(%E5%87%A0%E4%BD%95%E6%96%B0%E8%A7%86%E9%87%8E).pdf%22%2C%22size%22%3A9849775%2C%22type%22%3A%22application%2Fpdf%22%2C%22ext%22%3A%22pdf%22%2C%22progress%22%3A%7B%22percent%22%3A0%7D%2C%22status%22%3A%22done%22%2C%22percent%22%3A0%2C%22id%22%3A%227fZdG%22%2C%22card%22%3A%22file%22%7D)阅读第一章。<br />这里只讲一个拓扑定理:切线向量扫过的面积等于将这些向量在不改变方向和长度的情况下,将所有的向量尾部接到一起时所组成的图形的面积相等。即切线扫过的面积等于切线簇的面积,如图所示。<br />![1.png](https://cdn.nlark.com/yuque/0/2019/png/422826/1564563618443-10927c87-f8b6-4721-a937-1cad65a45ffc.png#align=left&display=inline&height=270&name=1.png&originHeight=440&originWidth=591&size=68793&status=done&style=none&width=363)<br />想象一辆自行车,其尾部车轮始终与某一闭合轨迹相切,也就是骑了一圈,那么无论骑行轨迹如何,自行车车身划过的面积始终不变。如上图所示,将一簇切线在不改变方向和长度的情况下尾部连接在一起,他们所组成的形状面积和原来扫过的面积相同,且原来图形的形状可以任意。<br />和开普勒第二定律及椭圆面积的关系:[视频链接](https://www.bilibili.com/video/av28012188)<br />_**Example3**_<br />利用该定理证明$\int_{-\infty}^{x}e^{t/b}dt=be^{x/b}$<br />![image.png](https://cdn.nlark.com/yuque/0/2019/png/422826/1564723539303-473f82f6-ae9d-4349-9888-bee69fe5358e.png#align=left&display=inline&height=161&name=image.png&originHeight=322&originWidth=574&size=32121&status=done&style=none&width=287)<br />显然所有切线构成的三角形底边长度都是1把所有的切线全部放到黄色三角形内尾部连接在一起就得到积分的面积是两倍三角形的面积即$be^{x/b}$。<br />_**Example4**_<br />利用该定理求摆线下方的面积。<br />![](https://cdn.nlark.com/yuque/0/2019/gif/422826/1564564061025-8772fb4c-acf7-4304-941f-7978e4dc58a8.gif#align=left&display=inline&height=200&originHeight=200&originWidth=400&size=0&status=done&style=none&width=400)<br />摆线相关知识点击:[维基百科](https://zh.wikipedia.org/wiki/%E6%91%86%E7%BA%BF)<br />![image.png](https://cdn.nlark.com/yuque/0/2019/png/422826/1564746231254-8815eda2-4876-44ed-a2b6-12118a04393d.png#align=left&display=inline&height=188&name=image.png&originHeight=467&originWidth=1498&size=106153&status=done&style=none&width=604)<br />由于PT垂直于PC在圆内又因为点P在每个瞬时相对于点C做圆周运动所以PT必然是点P的切向运动方向所以PT也是摆线的切线DOT的面积及切线扫过的面积等于右图中切线簇的面积将所有切线平移到点T。更具体的说圆在运动时点P划过了一段圆弧在每一个中间点都可以做线段PT线段PT既扫过了DOT也同时覆盖了T'P'C',故两者面积相等。<br />当圆旋转一周时,切线划过了整个摆线上方的面积,这面积等于切线簇的面积$\pi R^2$,而整个矩形的面积是$2\pi R\cdot 2R=4\pi R^2$,所以摆线下方的面积为$4\pi R^2-\pi R^2=3\pi R^2$。<br />利用参数方程的证明方法见下文。
#### 6.1.2体积
这里依然是微元法,我们讲两种求旋转体体积的方法:切片法和圆柱法<br />**切片法:**<br />![image.png](https://cdn.nlark.com/yuque/0/2019/png/422826/1564728579605-5d9263e3-5038-4290-9ba4-65a8ba5a3206.png#align=left&display=inline&height=99&name=image.png&originHeight=197&originWidth=853&size=57428&status=done&style=none&width=426.5)<br />A(x)就是x处物体的面积$\Delta x$就是高度两者相乘就是和x有关的一个体积微元求和或积分后就得到了整个体积。<br />_**Example5**_<br />求$y=x$和$y=x^2$中间的部分绕$y=2$旋转一周所得到的图像的体积。<br />![image.png](https://cdn.nlark.com/yuque/0/2019/png/422826/1564729612450-344d6106-b0c7-4671-b4f1-22c31bbc27f8.png#align=left&display=inline&height=217&name=image.png&originHeight=483&originWidth=814&size=84256&status=done&style=none&width=366)<br />本题的关键是千万不要把正负号弄错x和y的正负号永远是对原始图像而言的<br />![image.png](https://cdn.nlark.com/yuque/0/2019/png/422826/1564729702866-652e5e74-4121-49b8-abc6-e58760549d36.png#align=left&display=inline&height=269&name=image.png&originHeight=559&originWidth=648&size=49651&status=done&style=none&width=312)<br />_**Example6**_<br />求$y=x$和$y=x^2$中间的部分绕$x=-1$旋转一周所得到的图像的体积。<br />![image.png](https://cdn.nlark.com/yuque/0/2019/png/422826/1564729792065-60d72c36-c2b7-4981-8287-fb72455edf31.png#align=left&display=inline&height=396&name=image.png&originHeight=791&originWidth=865&size=110080&status=done&style=none&width=432.5)
**圆柱法:**<br />![image.png](https://cdn.nlark.com/yuque/0/2019/png/422826/1564730174773-06dc758f-1634-4e55-8972-258d1ce94fd0.png#align=left&display=inline&height=139&name=image.png&originHeight=278&originWidth=369&size=15043&status=done&style=none&width=184.5)![image.png](https://cdn.nlark.com/yuque/0/2019/png/422826/1564730326087-04297e8d-415b-4e64-ae20-88fae0efe92a.png#align=left&display=inline&height=117&name=image.png&originHeight=321&originWidth=399&size=29497&status=done&style=none&width=145)![image.png](https://cdn.nlark.com/yuque/0/2019/png/422826/1564730342813-d175f51d-29ff-46fb-b80c-5b9a48265fd9.png#align=left&display=inline&height=117&name=image.png&originHeight=271&originWidth=845&size=46573&status=done&style=none&width=366)<br />如图所示,$x_L和x_R$比较难求,当边界无法被解析式表达时,我们对垂直于旋转轴的底面做圆柱分解。<br />![image.png](https://cdn.nlark.com/yuque/0/2019/png/422826/1564730833273-10b089cf-73ea-4788-af98-2c99c64e4f5c.png#align=left&display=inline&height=272&name=image.png&originHeight=543&originWidth=874&size=72820&status=done&style=none&width=437)<br />![image.png](https://cdn.nlark.com/yuque/0/2019/png/422826/1564730917008-e54cf47b-11c7-4e53-b672-4e72a8805496.png#align=left&display=inline&height=170&name=image.png&originHeight=340&originWidth=1268&size=111792&status=done&style=none&width=634)<br />![image.png](https://cdn.nlark.com/yuque/0/2019/png/422826/1564730960541-957e4d6c-8c67-4679-86a4-dbb26f0ef222.png#align=left&display=inline&height=493&name=image.png&originHeight=985&originWidth=888&size=200136&status=done&style=none&width=444)<br />一小段圆柱的体积=底面积:$2\pi xdx$ 乘以 高:$f(x)$,之后对自变量求积分。<br />_**Example7**_<br />_**![image.png](https://cdn.nlark.com/yuque/0/2019/png/422826/1564731192372-d2fe0b5f-9062-4f02-87fc-189e778c2160.png#align=left&display=inline&height=276&name=image.png&originHeight=552&originWidth=1570&size=174486&status=done&style=none&width=785)**_<br />_**![image.png](https://cdn.nlark.com/yuque/0/2019/png/422826/1564731227052-5645e468-39ff-4f4a-9605-4934891d61b3.png#align=left&display=inline&height=325&name=image.png&originHeight=650&originWidth=1130&size=201985&status=done&style=none&width=565)**_<br />注意在本题中圆柱法比切片法简单的多由于不用求边界对于具体的题目根据情况选择两种方法即可。_
#### 6.1.3弧长和表面积
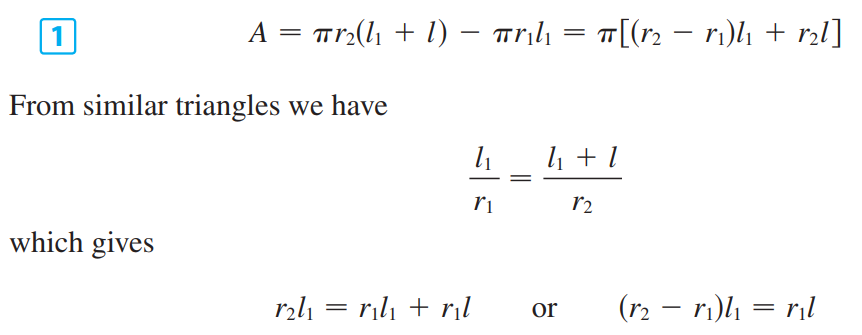
求弧长的方法十分显然,该方法也适用于极坐标,只需用微元法得到公式。<br />![image.png](https://cdn.nlark.com/yuque/0/2019/png/422826/1564735049026-006e6495-5137-4ced-8248-3146fff0e267.png#align=left&display=inline&height=167&name=image.png&originHeight=333&originWidth=627&size=32754&status=done&style=none&width=313.5)<br />![image.png](https://cdn.nlark.com/yuque/0/2019/png/422826/1564735072848-50861c06-992b-4cbb-8e9b-1ff3015a559d.png#align=left&display=inline&height=65&name=image.png&originHeight=129&originWidth=905&size=23014&status=done&style=none&width=452.5)<br />![image.png](https://cdn.nlark.com/yuque/0/2019/png/422826/1564735102285-44526d90-8906-4a4a-953a-f298ddaf8819.png#align=left&display=inline&height=552&name=image.png&originHeight=1103&originWidth=1087&size=232574&status=done&style=none&width=543.5)<br />求表面积的方法也是微元法,如下图所示:<br />![image.png](https://cdn.nlark.com/yuque/0/2019/png/422826/1564735238189-80848767-e286-4b19-be8e-815ae9cf33cb.png#align=left&display=inline&height=207&name=image.png&originHeight=358&originWidth=409&size=27579&status=done&style=none&width=237)![image.png](https://cdn.nlark.com/yuque/0/2019/png/422826/1564735284859-b59fbc1c-5a32-4e8a-ab05-5fca9eb2655d.png#align=left&display=inline&height=195&name=image.png&originHeight=390&originWidth=404&size=24795&status=done&style=none&width=202)![image.png](https://cdn.nlark.com/yuque/0/2019/png/422826/1564735245227-4cfcfb5d-3690-4166-adaf-3226a848ab02.png#align=left&display=inline&height=225&name=image.png&originHeight=450&originWidth=444&size=32892&status=done&style=none&width=222)<br />已知圆锥表面积是$\pi rl$,现在试图求解一段圆台的表面积,它等于两个圆锥相减。<br />![image.png](https://cdn.nlark.com/yuque/0/2019/png/422826/1564735348579-cfe256d6-bfc5-4a0d-8ae1-f813cf19f562.png#align=left&display=inline&height=168&name=image.png&originHeight=335&originWidth=862&size=39570&status=done&style=none&width=431)<br />![image.png](https://cdn.nlark.com/yuque/0/2019/png/422826/1564735368083-a876b283-20a4-428e-9eba-594325196a95.png#align=left&display=inline&height=186&name=image.png&originHeight=372&originWidth=791&size=42136&status=done&style=none&width=395.5)<br />![image.png](https://cdn.nlark.com/yuque/0/2019/png/422826/1564735424706-ad6adca0-3e29-4104-a107-7c158b1e97d1.png#align=left&display=inline&height=158&name=image.png&originHeight=315&originWidth=455&size=34365&status=done&style=none&width=227.5)![image.png](https://cdn.nlark.com/yuque/0/2019/png/422826/1564735432291-3887db4d-0c54-472e-a851-03ec6b8b60c6.png#align=left&display=inline&height=164&name=image.png&originHeight=327&originWidth=477&size=44272&status=done&style=none&width=238.5)<br />如上图所示,将任意旋转体分成无数小圆台,进行求和即可(这里为什么不能用圆柱做微元法?)。<br />![image.png](https://cdn.nlark.com/yuque/0/2019/png/422826/1564735492704-501318e3-dc45-480c-848c-cf9aa58d8821.png#align=left&display=inline&height=470&name=image.png&originHeight=940&originWidth=832&size=179318&status=done&style=none&width=416)<br />最后我们得到了表面积的表达式:<br />![image.png](https://cdn.nlark.com/yuque/0/2019/png/422826/1564735531566-c052e449-b816-47af-b0fb-ef7d515ece96.png#align=left&display=inline&height=543&name=image.png&originHeight=1085&originWidth=824&size=164515&status=done&style=none&width=412)<br />_**Example8**_<br />![image.png](https://cdn.nlark.com/yuque/0/2019/png/422826/1564735620477-50414564-495c-4c2b-b224-793c8d9bb15d.png#align=left&display=inline&height=318&name=image.png&originHeight=636&originWidth=1197&size=142634&status=done&style=none&width=598.5)
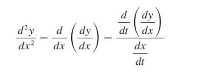
#### 6.1.4极坐标和参数方程
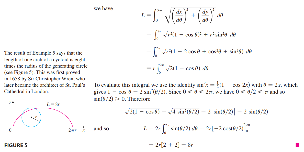
**参数方程:**<br />参数方程本质就是把x和y想成某个变量t的函数利用链式法则可以把微积分的计算用参数方程实现。<br />微分:<br />![image.png](https://cdn.nlark.com/yuque/0/2019/png/422826/1564736398380-6429c462-a4fd-4026-82fe-5e232fe16a68.png#align=left&display=inline&height=94&name=image.png&originHeight=188&originWidth=632&size=12125&status=done&style=none&width=316)![image.png](https://cdn.nlark.com/yuque/0/2019/png/422826/1564736410417-709321c3-f481-4259-8789-427eaf274d66.png#align=left&display=inline&height=75&name=image.png&originHeight=149&originWidth=408&size=12720&status=done&style=none&width=204)![image.png](https://cdn.nlark.com/yuque/0/2019/png/422826/1564736419104-a0a2821f-8dc7-4e91-80bf-d48bfe4b8e92.png#align=left&display=inline&height=61&name=image.png&originHeight=121&originWidth=260&size=7967&status=done&style=none&width=130)<br />求面积:<br />![image.png](https://cdn.nlark.com/yuque/0/2019/png/422826/1564736476918-0590bf2a-c680-4c20-8b1d-a353c97f20e3.png#align=left&display=inline&height=82&name=image.png&originHeight=186&originWidth=1048&size=31724&status=done&style=none&width=460)<br />求长度:<br />![image.png](https://cdn.nlark.com/yuque/0/2019/png/422826/1564736526039-2ebd1e65-a2dd-489d-9a64-71528f31163f.png#align=left&display=inline&height=131&name=image.png&originHeight=380&originWidth=1516&size=130868&status=done&style=none&width=522)<br />_**Example9**_<br />我们以摆线为例,将摆线方程建模为关于转动角度的函数,如下图所示。<br />![](https://cdn.nlark.com/yuque/0/2019/gif/422826/1564564061025-8772fb4c-acf7-4304-941f-7978e4dc58a8.gif#align=left&display=inline&height=152&originHeight=200&originWidth=400&size=0&status=done&style=none&width=303)![image.png](https://cdn.nlark.com/yuque/0/2019/png/422826/1564735810521-60b56f59-1282-4d91-a789-39b4dd04a294.png#align=left&display=inline&height=178&name=image.png&originHeight=356&originWidth=336&size=25573&status=done&style=none&width=168)<br />![image.png](https://cdn.nlark.com/yuque/0/2019/png/422826/1564736092449-9ca73029-a1f7-4596-8e8a-561821aa44c6.png#align=left&display=inline&height=281&name=image.png&originHeight=498&originWidth=824&size=108912&status=done&style=none&width=465)<br />摆线的面积:方法只是简单的换元。<br />![image.png](https://cdn.nlark.com/yuque/0/2019/png/422826/1564736174058-a5323d28-5dae-4876-8d23-91f700c0892a.png#align=left&display=inline&height=252&name=image.png&originHeight=504&originWidth=1136&size=164383&status=done&style=none&width=568)<br />摆线的周长:<br />![image.png](https://cdn.nlark.com/yuque/0/2019/png/422826/1564736242267-186b3d0e-3341-4b79-b349-18bd1a5f5855.png#align=left&display=inline&height=106&name=image.png&originHeight=211&originWidth=811&size=50267&status=done&style=none&width=405.5)<br />![image.png](https://cdn.nlark.com/yuque/0/2019/png/422826/1564736259329-b43d099d-580d-45d3-a1cc-5c13753f3636.png#align=left&display=inline&height=298&name=image.png&originHeight=596&originWidth=1189&size=167924&status=done&style=none&width=594.5)<br />摆线相关知识点击:[维基百科](https://zh.wikipedia.org/wiki/%E6%91%86%E7%BA%BF)<br />摆线的本质是最速降线请看3B1B的视频[视频链接](https://www.bilibili.com/video/av6385842)<br />另一个相关视频:[费马小定理](https://www.bilibili.com/video/av4283063)<br />**极坐标:**<br />极坐标求面积公式前面已给出:<br />![image.png](https://cdn.nlark.com/yuque/0/2019/png/422826/1564739380608-f0e0eb6d-9b48-40ef-a65d-a148d2c37c25.png#align=left&display=inline&height=40&name=image.png&originHeight=80&originWidth=397&size=8505&status=done&style=none&width=198.5)<br />求弧长的公式推导依然是微元法:<br />![image.png](https://cdn.nlark.com/yuque/0/2019/png/422826/1564739460366-b122fcba-a853-41d1-a20f-b7a96605226e.png#align=left&display=inline&height=194&name=image.png&originHeight=388&originWidth=1179&size=96692&status=done&style=none&width=589.5)<br />![image.png](https://cdn.nlark.com/yuque/0/2019/png/422826/1564739475794-c4ced533-af66-4cca-817a-ce84ce59c500.png#align=left&display=inline&height=468&name=image.png&originHeight=936&originWidth=1162&size=165419&status=done&style=none&width=581)<br />更直观的方法是:弧长显然等于径向速度与法向速度之和。$\Delta l=\sqrt{(dr)^2+(rd\theta)^2}$<br />_**Example10**_<br />![image.png](https://cdn.nlark.com/yuque/0/2019/png/422826/1564739512792-d8161131-1dea-47fd-af31-5fb8888bc10d.png#align=left&display=inline&height=238&name=image.png&originHeight=475&originWidth=1740&size=183958&status=done&style=none&width=870)
_**Example11**_<br />本题请务必自己手算一遍。<br />_**![image.png](https://cdn.nlark.com/yuque/0/2019/png/422826/1564739703550-2719ccb5-7c3a-4587-b76f-6d642c16f520.png#align=left&display=inline&height=139&name=image.png&originHeight=278&originWidth=1402&size=558840&status=done&style=none&width=701)**_<br />_**![image.png](https://cdn.nlark.com/yuque/0/2019/png/422826/1564739743058-7ede1aae-d19a-4a12-a962-768434331a7d.png#align=left&display=inline&height=566&name=image.png&originHeight=1155&originWidth=1431&size=2451173&status=done&style=none&width=701)**_
## 6.2物理问题
#### 6.2.1质心
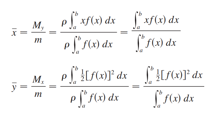
![image.png](https://cdn.nlark.com/yuque/0/2019/png/422826/1564742115000-018bb313-2aa7-416e-af90-a537fd32df00.png#align=left&display=inline&height=163&name=image.png&originHeight=325&originWidth=490&size=18641&status=done&style=none&width=245)![image.png](https://cdn.nlark.com/yuque/0/2019/png/422826/1564742126521-978d71c8-5b50-40bf-8ac2-3e2b28bfd52f.png#align=left&display=inline&height=175&name=image.png&originHeight=405&originWidth=485&size=36089&status=done&style=none&width=209)<br />质心和势相关,是力学中研究旋转的概念,质心和势一般来说是对于某个转轴的定义。<br />质心是一个点,在这点上施加外力不会引起系统的旋转。<br />势是物体旋转的惯性,表示在施加外力后系统旋转的能力。<br />如上图所示区域R具有恒定密度它相对于y轴和x轴的势计算方法如下<br />![image.png](https://cdn.nlark.com/yuque/0/2019/png/422826/1564742398345-dc83039e-653b-478d-8087-447a48eaf146.png#align=left&display=inline&height=60&name=image.png&originHeight=119&originWidth=630&size=18290&status=done&style=none&width=315)相当于每个矩形到y轴距离x乘以每个矩形面积f(x)dx<br />![image.png](https://cdn.nlark.com/yuque/0/2019/png/422826/1564742417600-503bf00a-7b59-4a3d-9610-062310bead42.png#align=left&display=inline&height=57&name=image.png&originHeight=113&originWidth=707&size=19660&status=done&style=none&width=353.5)相当于每个矩形中点到x轴距离f(x)/2乘每个矩形面积f(x)dx<br />上式除以总质量就得到了质心:<br />![image.png](https://cdn.nlark.com/yuque/0/2019/png/422826/1564742797455-a0968736-8f97-4112-8a08-a97d7034cc22.png#align=left&display=inline&height=186&name=image.png&originHeight=371&originWidth=678&size=59151&status=done&style=none&width=339)<br />_**Example12**_<br />![image.png](https://cdn.nlark.com/yuque/0/2019/png/422826/1564742837779-73275432-9494-42b4-b7bf-cb03b9e2952f.png#align=left&display=inline&height=478&name=image.png&originHeight=956&originWidth=1738&size=218957&status=done&style=none&width=869)
#### 6.2.2电磁场
_**Example13**_<br />一根电荷密度为+1的长度为L的直导体棒求距离其中点a的一点的电场强度。<br />![image.png](https://cdn.nlark.com/yuque/0/2019/png/422826/1564743182639-68335172-a503-4a04-86d2-9462f3c93629.png#align=left&display=inline&height=175&name=image.png&originHeight=533&originWidth=628&size=45223&status=done&style=none&width=206)<br />提示:第一种做法是通过微元法转换成积分,第二种做法是找出与其等价的圆弧。<br />答案:[点击链接](https://www.bilibili.com/video/av55298726)
## 6.3一题十解
_**Example14**_<br />求$Ax^2+2Bxy+Cy^2=1(A>0,AC-B^2>0)$所围图形的面积。<br />解1
![image.png](https://cdn.nlark.com/yuque/0/2019/png/422826/1564743549317-883a26fe-c7e1-4688-9d64-f8c39451f335.png#align=left&display=inline&height=305&name=image.png&originHeight=609&originWidth=543&size=58299&status=done&style=none&width=271.5)<br />另外十种解法为:参数方程,极坐标,微分,二重积分,条件极值,线性代数等,具体参见吉米多维奇。

View File

@@ -5,7 +5,7 @@ layout: home
hero:
name: HDU-CS-WIKI
text: HDU计算机科学讲义
tagline: 如果你有一些建议或者想要完善此 WIKI ,请点击下方的 GitHub 按钮提交 issue 或者 PR
tagline: 如果你有一些建议或者想要完善此 WIKI ,请点击下方的 GitHub 按钮查看我们的仓库提交 issue 或者 PR
image:
src: hdu-cs-wiki.svg
alt: HDU-CS-WIKI