Files
fzu-product/4.人工智能/4.6.8.4MoCo.md
2023-04-16 03:04:12 +08:00

4.1 KiB
Raw Blame History

MoCo

提出背景

MoCo 是 Inst Disc 的改进工作,那我们自然要先看一下 Inst Disc 有什么不足

1.Memory Bank 过大,不能应用在更大的数据集上

因为其字典的数据类型,导致计算开销会加大

2.动量更新并不能完全解决特征一致性差的问题

即使使用了动量更新的方式,同一个特征前后被调用的跨度也还是很长,一致性依旧不够

3.NCEloss 负样本分类不合理的问题

NCE 把所有负样本都视作一样的,但实际上负样本并不能被完全归为一类

举个例子:我现在的正样本是猫猫,然后有两个负样本是狗勾汽车,那猫猫肯定跟狗勾更相近,跟汽车更不相似,也就是说的得分虽然低于,但是一定要高于汽车而不是像 NCE 那样把狗和车打成一类,这样不利于模型学习。

并且它也不是很灵活,下文细讲

虽然大家应该都懂了(应该吧?),但还是贴一下模型总览图。

右边就是 memory bank 啦

MoCo 做出的改进

1.针对 Memory Bank 过大

作者使用队列的数据结构去储存这个大字典,因为是先进先出,所以好处是新进来的特征可以把最老的特征替换掉。每次不用把整个字典全部载入,而是用队列形式即可。很简单地解决了这个问题。

2.针对动量更新不能完全解决特征一致性差的问题

作者提出了一个新的动量编码器来替代动量更新。

动量编码器是独立于原编码器的一个编码器它的参数是根据原编码器动量更新的k 和 q 就是指代全部参数了

这样的话就是解码器在缓慢更新,比对特征使用动量更新要更有连续性。

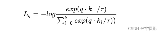
3.负样本分类不合理的问题通过替换 infoNCEloss 解决

下面是 infoNCE loss 的公式,它是 NCE 和交叉熵损失的结合体,长得就很像交叉熵,只是多了个 T。

(什么?你看到这了还不会交叉熵?戳这里)

q·k 其实就是各个特征(因为那时候用的都是 transformer 了,这里就是 trnasformer 里的 k 和 q

这里分母级数上的k 是代表负样本的个数,也就是 k=batchsize-1总样本-正样本)。其实就是对一个 batch 做 k+1 分类,并且引入了一个超参数 T。它的名字叫做温度参数,控制的是 softmax 后得分分布的平滑程度(直观理解,不是很严谨)

T 越大,损失函数就越对所有负样本一视同仁,退化为二分类的 NCElossT 越小,损失函数就越关注一些难分类的特征,但有时候会出现两张其实都是猫猫的图片,你硬要让模型说猫猫跟猫猫不一样,这也不太好,这个参数要根据数据集情况适中调整。

上面那张是 T 较大的情况,下面是 T 较小的情况x 轴是各个类别y 轴是分类得分)

所谓的灵活性就是指infoNCE loss 引入了温度参数这个参数可以帮我们调整训练的难度T 越大,模型越关注类似的特征,训练也就越难,总之就是非常灵活。

总结

总而言之MoCo 就是基于 Inst Disc 主要做了如上三点改进,模型和参数都是完全不变的。它的核心在于动量编码器和活动大字典。

能在 imagenet 上达到媲美甚至超越有监督学习的模型的结果,并且可以作为 backbone 很好的拓展应用到多个下游任务上。

另外

其实 MoCo 有两篇后续工作MoCo v2 和 MoCo v3v2 其实就是缝合了后面讲的 SimCLR 的方法不展开了V3 留到以后讲。